siRNA、ASO、saRNA、anti-microRNAなどのオリゴに親油性、ビタミン、GalNAcを修飾することで、細胞への送達・取込みを改善することがよくあります。
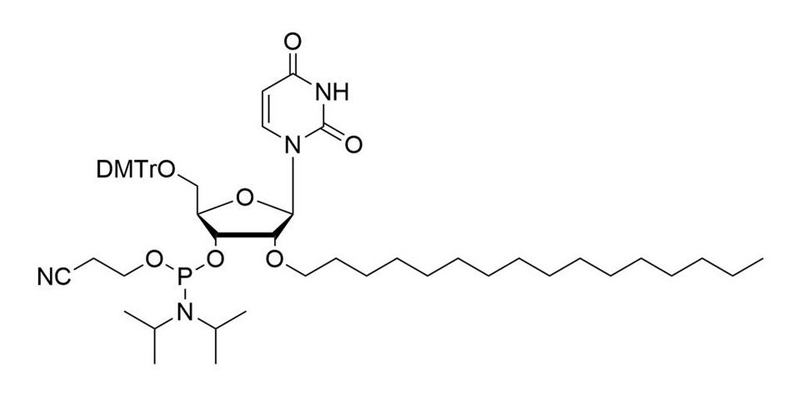
LGC Biosearch Technologies社では、オリゴの5‘末端および3’末端に組み込むための疎水性修飾ホスホロアミダイトおよびCPGを幅広く取り揃えています。3'末端の親油性修飾の中には、天然の糖-リン酸骨格をベースにしたものもあり、オリゴに対する構造的な悪影響を緩和する利点があります。
LGC Biosearch Technologies社の修飾剤の多くは、炭素系またはトリエチレングリコール(TEG)スペーサーや、細胞導入後の切断可能なリンカーとご一緒にご利用頂けます。TEGスペーサーは、アセトニトリルへの溶解性を高めるという利点もあります。
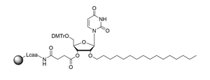
また、オリゴヌクレオチドの3'末端に親油性修飾剤を組み込むためのオリゴヌクレオチド合成用カラムも提供しています。
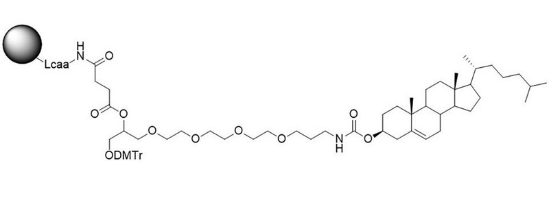
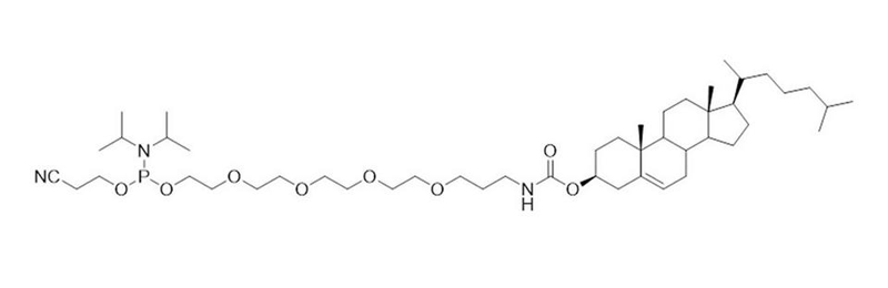
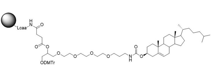
コレステロール
ページの先頭に戻る
ビタミン(ビタミンE)
ページの先頭に戻る
パルミテート
ページの先頭に戻る
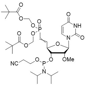
ビニルホスホネート(VP)
ページの先頭に戻る
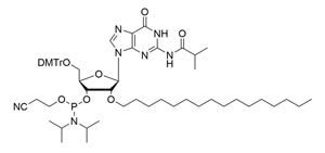
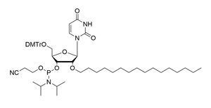
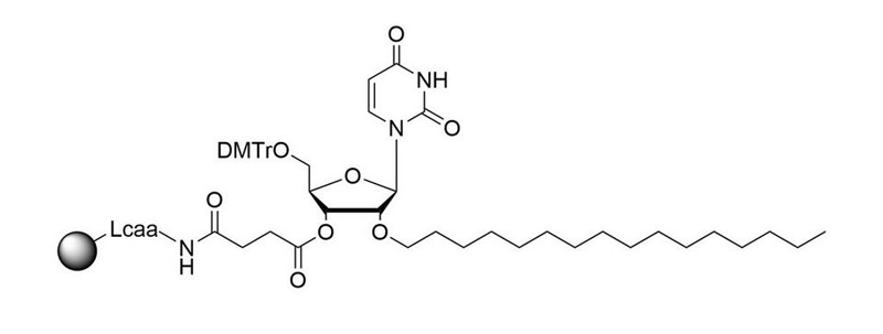
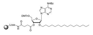
C16 (パルミチン酸) 修飾 
ページの先頭に戻る
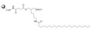
ラウリン酸およびDCA修飾 
ページの先頭に戻る
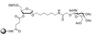
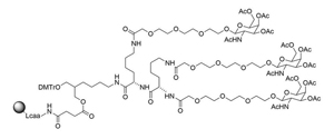
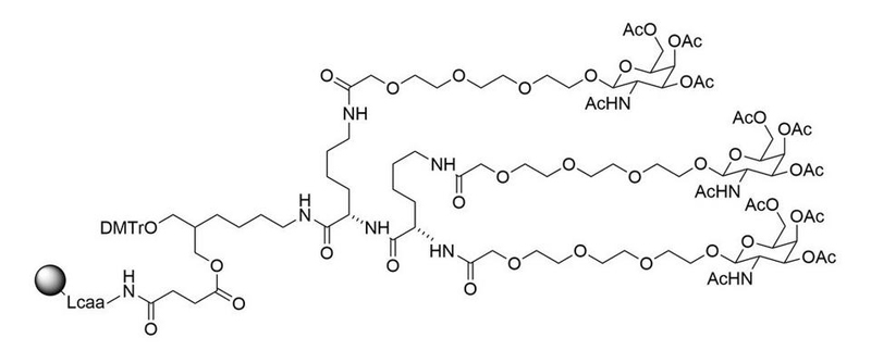
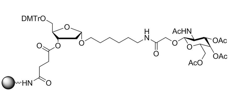
GalNAc
GalNacコンジュゲートは、肝臓を標的とした核酸治療薬の肝内ドラッグデリバリーを改善します。 LGC Biosearch Technologies社のGalNAcモノマーは、オリゴ内のGalNAcモノマーの数や位置を変えて、柔軟なGalNAcクラスターを構築するために使用することができます。 さらに、各GalNAcモノマーの間に様々なスペーサーを追加したり、オリゴとGalNAcクラスターの間に切断可能なリンカーを組み込むことも可能です。 | 
|
▼ラインナップ
dR-GalNAc (Alpha) CPG |
| 構造式 | 容量 | 充填量 | ポアサイズ | 型式 |

| 100mg | Standard Loading | 500Å | LK2489-B100 |
| 1g | LK2489-C001 |
| バルク(g) | LK2489-C000 |
| 100mg | 1000Å | LK2440-B100 |
| 1g | LK2440-C001 |
| バルク(g) | LK2440-C000 |
dR-GalNAc (Alpha) CPG Column |
| 構造式 | 容量 | カラムタイプ | ポアサイズ | 型式 |
 | 1 μmol (Pack of 10) | ALL-FIT | 500Å | LK2489-P008 |
200 nmol (Pack of 10) | LK2489-P002 |
1 μmol (Pack of 10) | MerMade | LK2489-P022 |
200 nmol (Pack of 10) | LK2489-P016 |
1 μmol (Pack of 10) | ALL-FIT | 1000Å | LK2440-P008 |
200 nmol (Pack of 10) | LK2440-P002 |
1 μmol (Pack of 10) | MerMade | LK2440-P022 |
200 nmol (Pack of 10) | LK2440-P016 |
dR-GalNAc (Beta) Phosphoramidite |
| 構造式 | 容量 | ボトルタイプ | 型式 |
 | 100 μmol | ABI(8mL/20mm Septum) | LK2568-F100 |
| 250mg | LK2568-B250 |
| BULK | HDPE Screw-Top | LK2568-C000 |
Tri-GalNAc-TEG C7 CPG  |
| 構造式 | 容量 | 充填量 | ポアサイズ | 型式 |

| 100 mg | 25-40 µmol/g | 1000 Å | LK2506-B100 |
| 1 g | LK2506-C001 |
| BULK (g) | LK2506-C000 |
ページの先頭に戻る
製品カタログ 
ページの先頭に戻る